In class material is covered on the given date. Readings and assignments are due the next class unless noted.

Date In Class Readings Assignments
8/27 Syllabus and Ch 1.
Modeling process.
Read Ch 1. If time, skim Ch 2 or the summary on p.44 to assess whether you need to review Linear Algebra. Select a problem analogous to one of the examples. Describe the seven steps in as much detail as you can and email your work to me before next class. You will not be able to be very thorough yet, but this will start you thinking about possible modeling scenarios. p.20: problem 2.
9/1 Discuss your scenarios (1, 2, 3, 4, 5, 6, 7. and problem 2. Begin Ch 3. LP standard format. TV problem, LP, feasible region, isoprofit lines. Ch 2 as needed. 3.1, 3.2 To discuss next time: p48: 22.
Hand in at end of Ch 3. 3.1: 1, 2, 4, 5. 3.2: 1,2,3. 3.3:1-3, 5, 6, 8, 10. 3.4: 1. 3.5: 1. Due 9/10. Solutions.
9/3 Problem 22. Using Graph. LP assumptions. 3.3, 3.4. Bring questions on 3.1, 3.2 problems to class Fri.
9/5 TV with different objective functions.   Bring questions on 3.3, 3.4 problems to class Mon. Pick one of the applications in 3.5-3.11 that you would like to explain to the class next Mon or Wed.
9/8 Begin Ch 4 (Simplex Method). Ideas. 4.1-4.2. Optional: 4.3-4.4. Ch 4 problems 4.1: 3, 4.4: 3. 4.5: 2, 6. 4.6: 1, 2. 4.7: 2, 5, 6, 7, 8. 4.8: 1, 3, 5. 4.10: 1. 4.12: 1, 3, 4, 5, 6. 4.14: 2, 3 (Solutions).
9/10 TV: algebraic solution. 4.5  
9/12 Sections 3.8(TT), 3.9(JC), 3.10(BD), 3.11(MG/DL), 3.12(JL). TV in table form. 4.6, 4.7. 3.8: 1, 13. 3.9:3
9/15 Examples for 4.7 and 4.8 4.8 (omit "direction of unboundedness"), 4.9.  
9/17 LINDO hints, TV formulation, output. 4.12, 4,14.  
9/19 Examples for 4.12 Ch 5, section 5.1 Ch 5 problems: 5.1: 1, 2, 3, 5. 5.2: 1, 3. 5.3: 3 (typo: MAX should be MIN) (Solutions).
9/22 Continue with 4.12, 4.14   Ch 4 hwk due Friday, 9/26
9/24 5.1, TV final table. Ch 5, section 5.2. Skim 5.3. Read Red Brand Canners to work on Wednesday.
9/26 LINDO with surplus, artificial variables. 6.2 notes, formulae Ch 6: 6.2 (6.1 is identical to 5.1). Try 6.2: 1 to discuss in class Wed.
9/29 Continue 6.2   6.2: 2. 6.3: 1, 2, 3, 6.
10/1 6.2 #1, Red Brand Canners   Red Brand Canners due 10/10.
10/3 6.3: notes 6.5 p295-297.  
10/6 Begin duality 6.6 Interpreting the Dual of a Max Problem. Skip Min. 6.5: 1, 2.
10/15 Continue duality.   Exercise for duality. 6.6: 1. 6.7: 1 (Ch 6 Solutions).
10/17 Duality exercise solution, graph. 8.1.
10/20 Start Chapter 8 (slides) Dijkstra's algorithm. 8.2 (omit LINGO and Ford Fulkerson method), 8.3, 8.4 8.2: 2, 6 (formulation only), 8. 8.3: 1, 7, 8, 12, 13, 14. 8.4: 1, 3,4, 5. 8.6: 2, 4. Solutions.
10/22 Red Brand Canners comments. Max flow LP.  
10/24 Exam 1 due .
Red Brand Canners comments, solution. solution scaled.
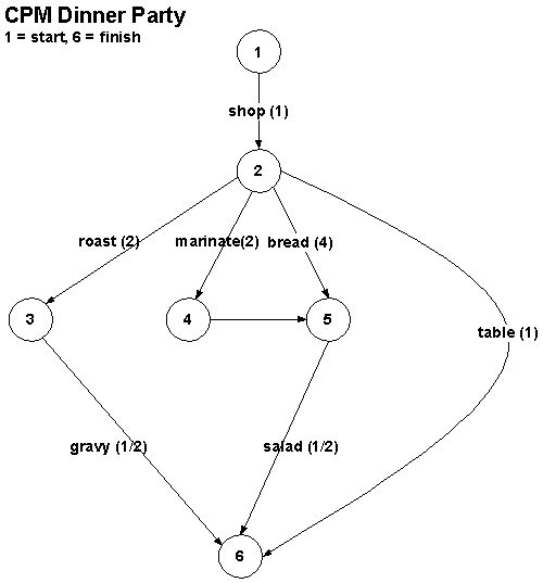
  Come with questions on 8.4 #1 and 5a. Find EET, LET, FF and TF for this set of activities.
10/27 CPM activities, graph, LINDO, with crash times.    
10/29 Exam 1 answers.    
10/30 Continue chapter 8. 7.1 p. 360-365. 7.1: 1, 2.Solutions.
11/3 Who will win tomorrow? Start Chapter 7 (slides)    
11/5 Start Chapter 13 (slides) Stagecoach: graph, costs, solution by dynamic programming, shortest route. Ch 13: 13.2, 13.3, 13.4 (skip Generalized Resource Allocation Problem on). 13.2: 1, 2, 13.3: 1-3, 13,4: 1, 4. Plus any 2 from handout. On computationally intensive problems, it suffices to set them up and do a few steps (Solutions).
11/7 Look at in class: 8.3 #7   Chapter 8 due Monday
11/17 Exam 2 answers. Comments    
11/21 Brandon. From Thomas Finish Chapter 13. Ch11: 11.1-11.4 11.1: 1-3, 11.2 1, 2, 11:3: 1 (Solutions).
11/24 Chapter 11 (slides)    
12/1 Mary Gooding   Ch 11 and 13 due last class.
12/8 Jamie Leigh. More inventory theory    
12/17 Final problem set and in class exam. Work on a problem of your own can be substituted for a major/minor portion of your final exam.