Schedule
Date In Class Assignments (due next class unless noted)
1/26 Go over syllabus, §1.1. Definition. 1-10, 12, 14, 15, 16, 24, 27, 29, 31. To discuss: 39-41, 46. Please show work on the problems you hand in.
1/28 §1.2. Existence and Uniqueness 1.2: 1, 4, 7, 8, 11, 12, 15, 45
1/30 §1.3 through"Spread of a Disease". We will omit or defer "Draining a Tank" on 1.2: 17, 18. 1.3: 1, 3, 4, 5, 7, 8.
2/2 §1.3, "Mixtures," §2.1. Examples 1, 2a, 2b. 1.3: 9, 10, 11, 23, 29, 31. 2.1: 1, 4, 16 (to discuss). Think about how DEs might be used to understand global warming.
2/4 Global Warming. §2.2.1. DP Graph. 2.1: 19, 20. Develop and explain your own differential equation that describes some aspect of global warming. It can be a variant on what we did in class.
2/6 2.2: 1, 2, 5, 6, 7, 11, 12, 13, 24, 29, 30
2/9 §2.3. I find the explanation of variation of parameters on p. 54 confusing. Do not memorize this formula for solving a first-order linear equation, rather use the fact that the integrating factor is e∫P(x)dx. . 2.2: 32, 43. 2.3: 1, 3, 4, 7, 10, 12, 13. "Transient" is defined on p. 58. I will talk about it more Wednesday. Short quiz Friday on separable and linear DEs.
2/11 Finish §2.3. y'+2y=6. Omit example 6. Do example 7 in class. 2.3: 2, 5, 16, 25, 26, 29, 47 and diet model.
2/13 Quiz 1 ans. Exact equations 2.4: (may be handed in Wed) 1-5, 7, 12, 13, 19, 22, 28, 29.
2/16 Finish 2.3
2/18 2.5: Solution by substitution. 2.4 #29. 2.5: 1, 2, 5, 6, 11, 15, 16, 38
2/20 Dr. Kelly Kadera '87 will speak in class (slides). Please also attend Science Colloquium Read "A Predator Prey Model" on p. 107-108. Review questions, you do not need to hand in (p.80) 1-7, 9, 10, 11, 13, 14, 17, 19, 20.
2/23 Exam 1 preparation  
2/25 Example 2 Exam 1 answers, comments Makeup answers. 2.6: 1, 4. (ans) Read 3.1 (skip series circuits).
2/27 §3.1 applications: notes. 3.1: 1, 2, 6, 7, 10, 12, 13, 21, 22.
3/2 §3.2 3.2: 1, 2, 5
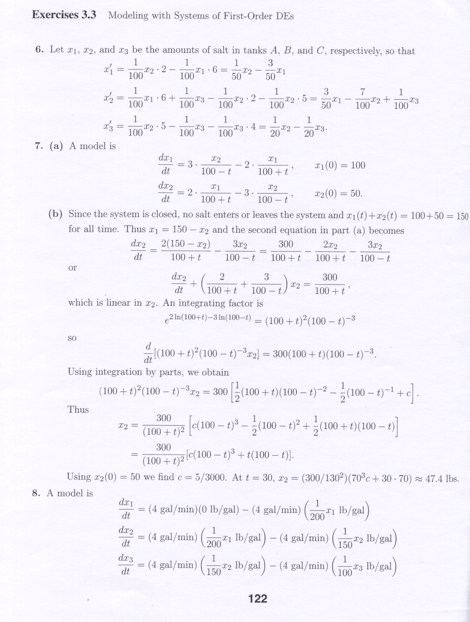
3/4 §3.3 3.3: 1, 4, 5, 6, 7, 8
3/6 §4.1. Existence and Uniqueness 1, 4, 5, 9, 10, 12
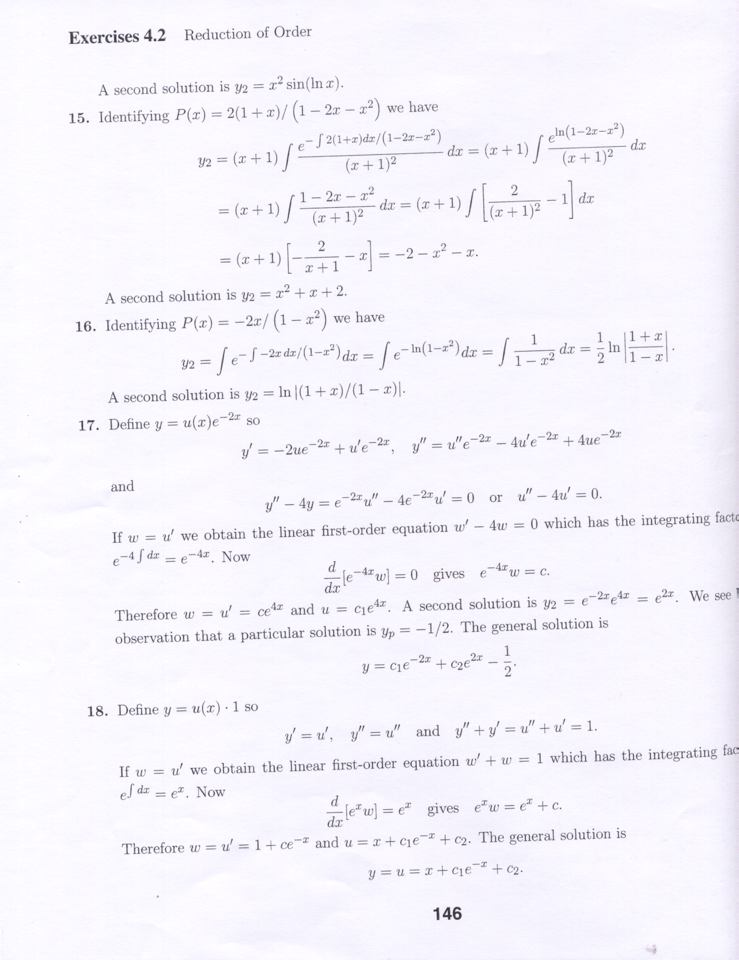
3/9 §4.2 4.2: 1- 4, 8, 18, 19
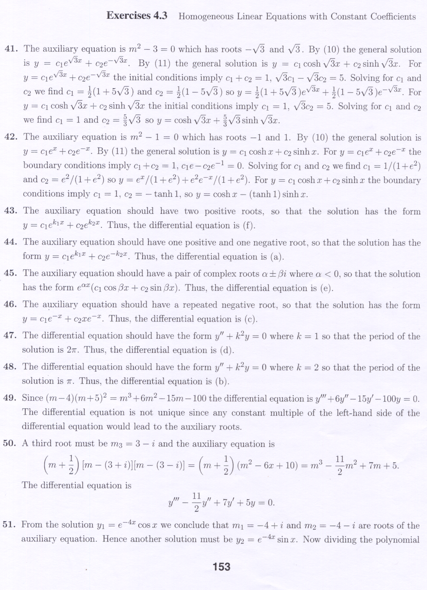
3/11 §4.3 4.3: 1, 2, 3, 8, 9, 12, 15, 16, 29, 30, 37, 40
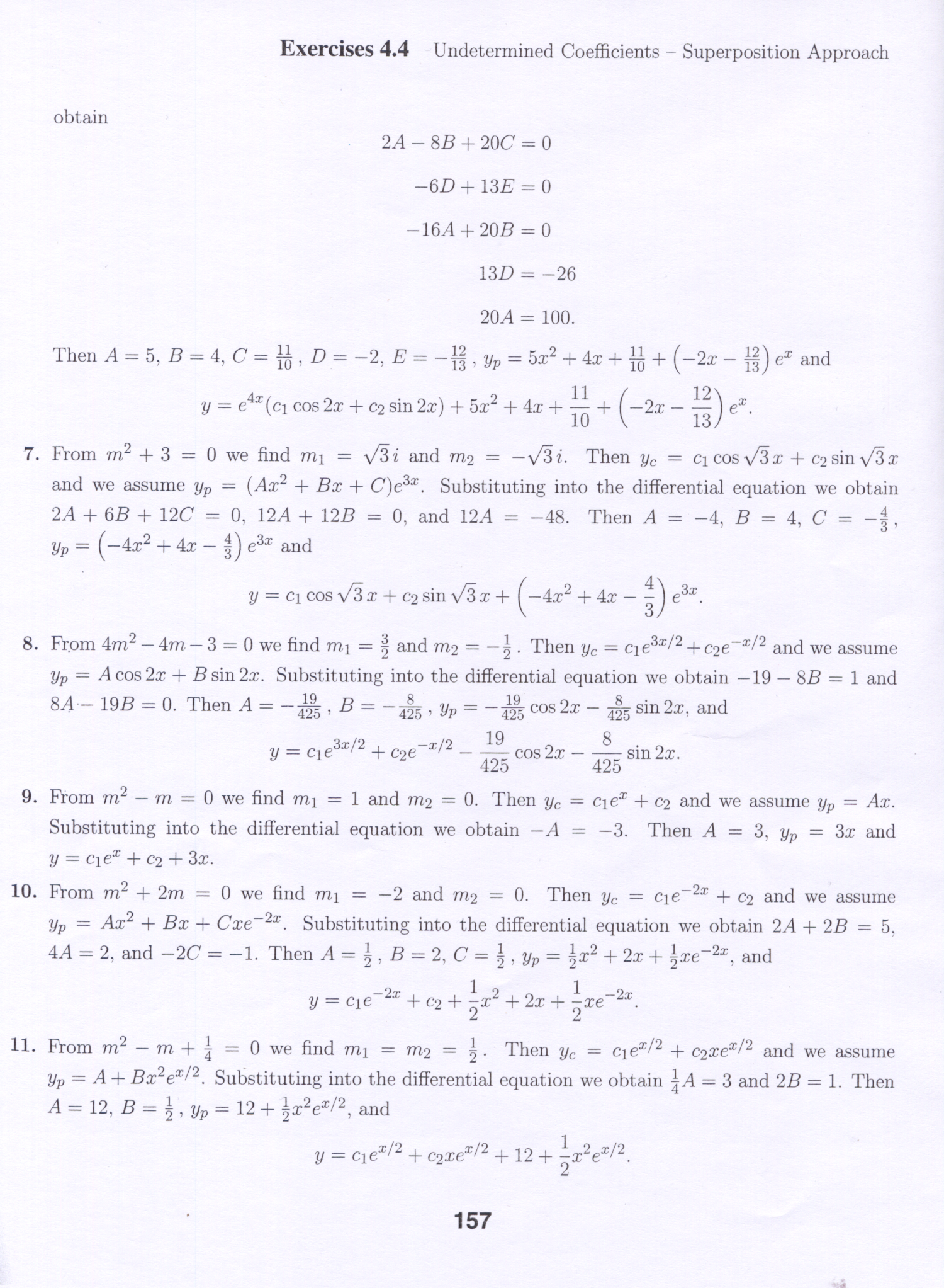
3/13 §4.4 4.4: 1, 4, 6, 9, 13, 26,29, 30
3/23 §4.7 (skip 4.5, 4.6), Start 4.8 4.7: 1, 2, 3, 4, 13
3/25 §4.8 4.8: 1, 2, 3, 4, 5, 7, 15
3/27 §5.1 5.1: 1-5
3/30 Finish §5.1 Not to hand in: Chapter 4 Review: 2, 3, 4, 7, 9-11, 24, 38.
4/1 Review (send questions via email) practice
4/3 Exam 2 preparation, solution.  
4/6 §5.1. Skip 5.1.3, Series Circuit Analogue 5.1: 21, 22, 29
4/8 §5.2 (only example 1) 5.2: 1-2, 6. Chapter 5 Review: 1, 2, 3, 18.
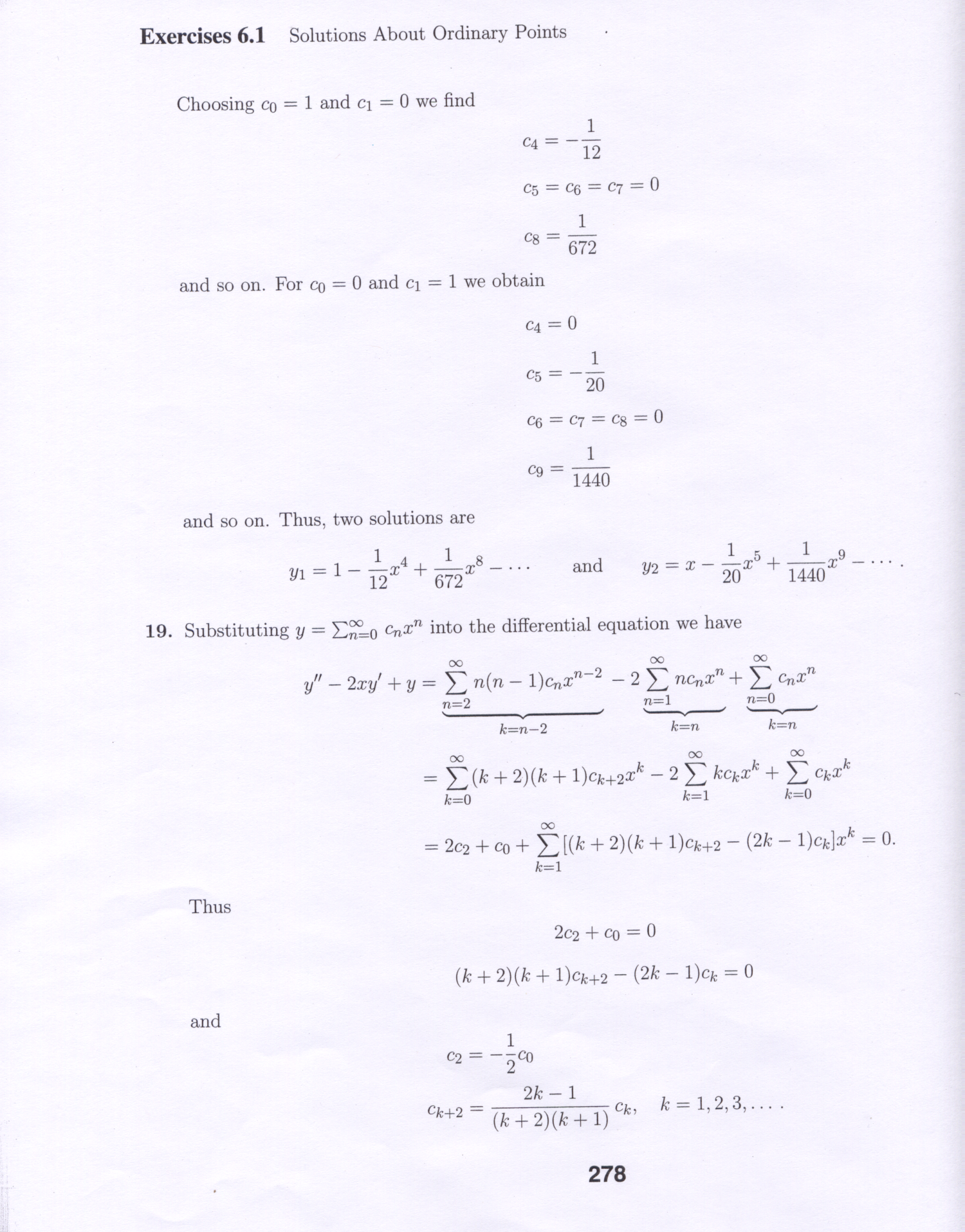
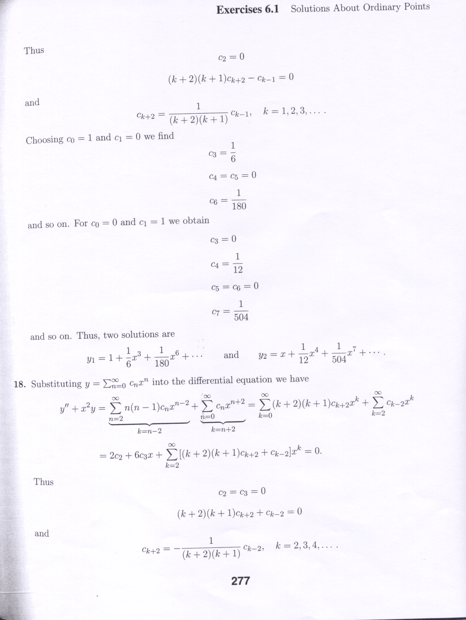
4/10 §6.1 6.1: 1-4, 6, 8, 9, 11, 12, 13
4/13 §6.1 6.1: 15, 16, 17, 18, 19, 29, 36, 37
4/15 Quiz on Chapter 5 (summary). Answer. Convert from .docx to .doc.  
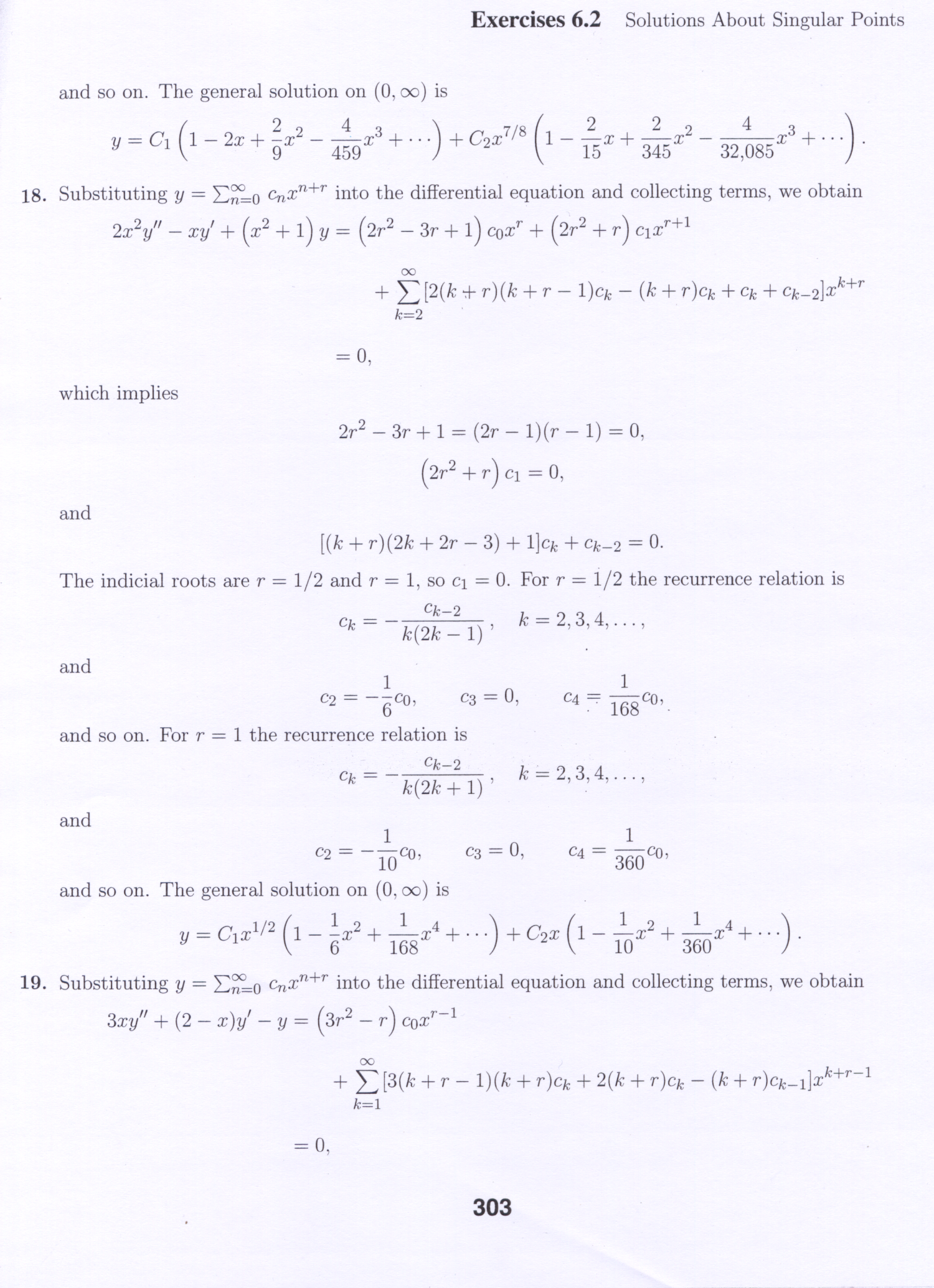
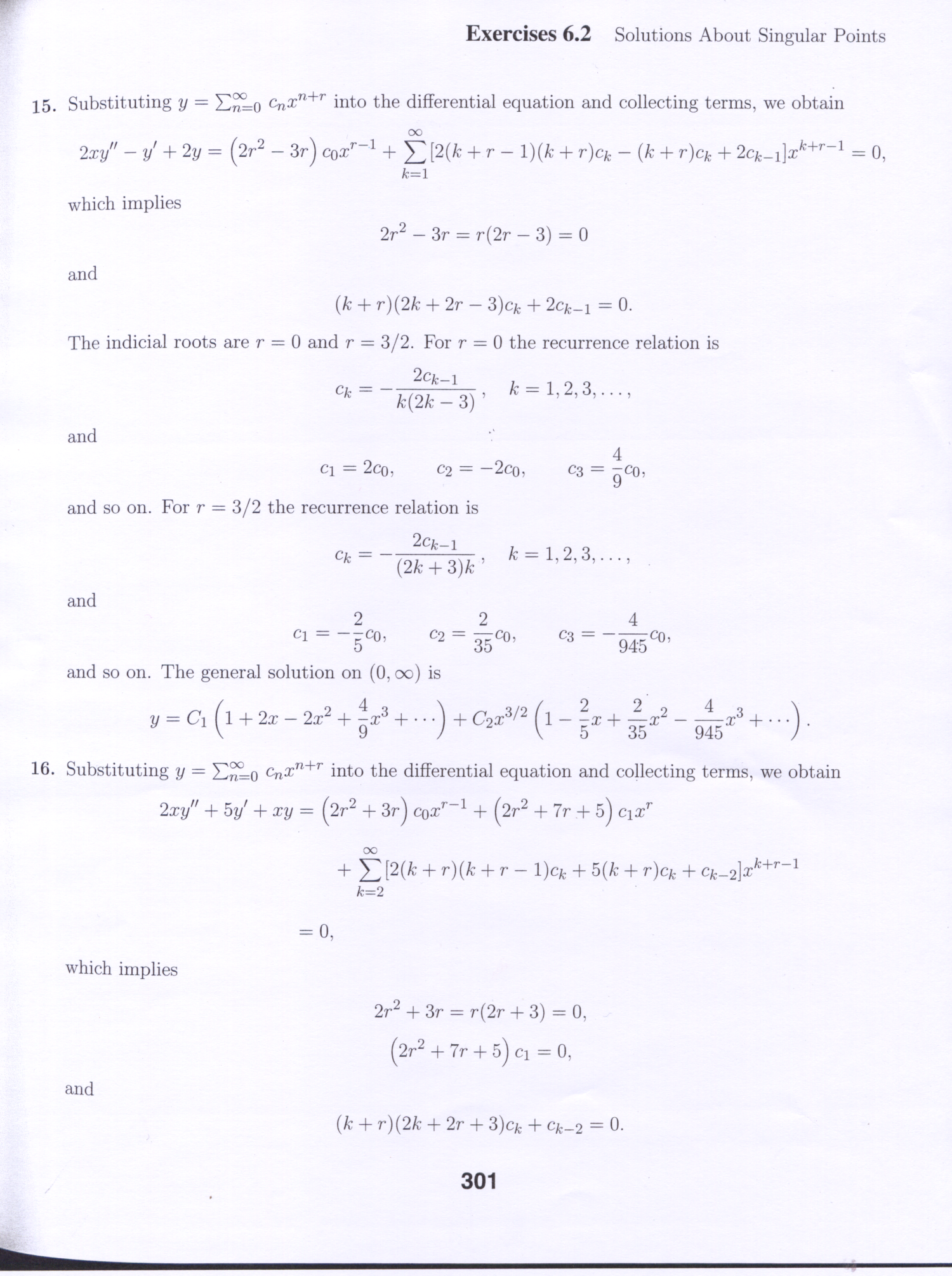
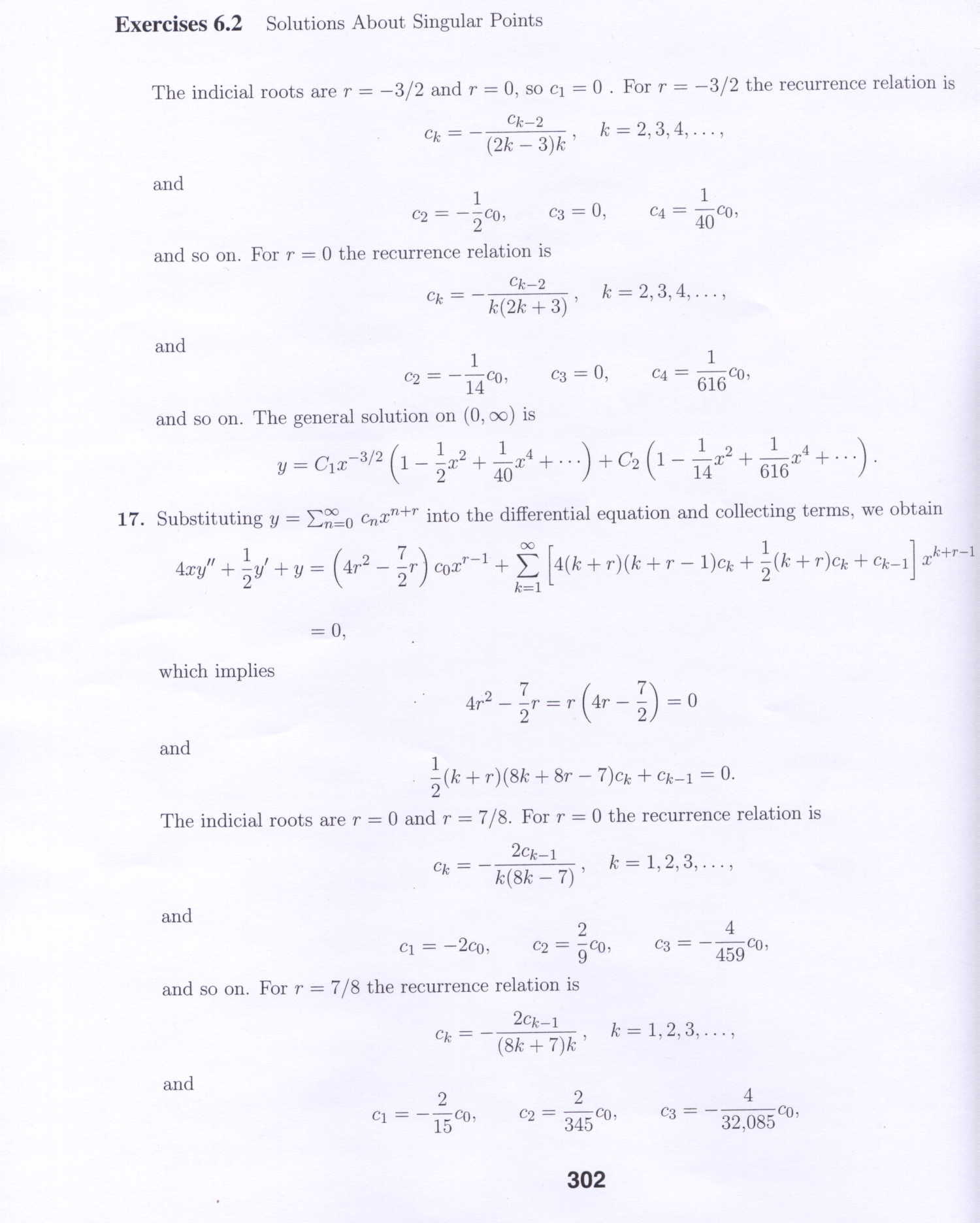
4/17 §6.2, Read only to end of Example 4. 6.2: 1-12
4/20 §6.2. Notes. 6.2: 15, 16
4/22 Do 6.2 18 in class. Review Appendix II if needed
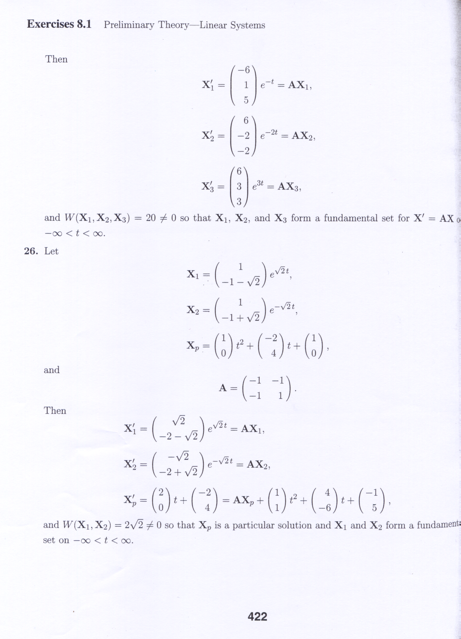
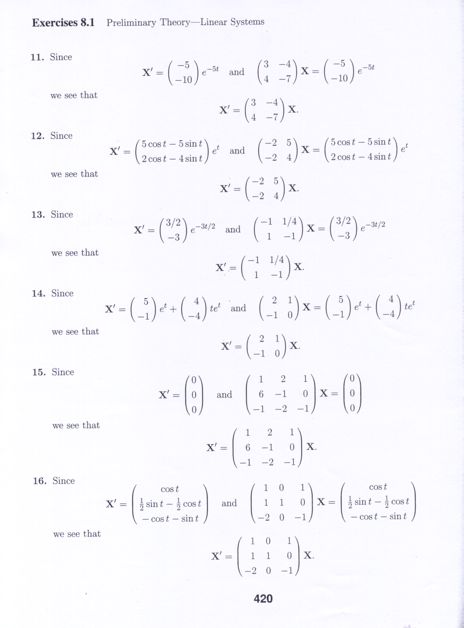
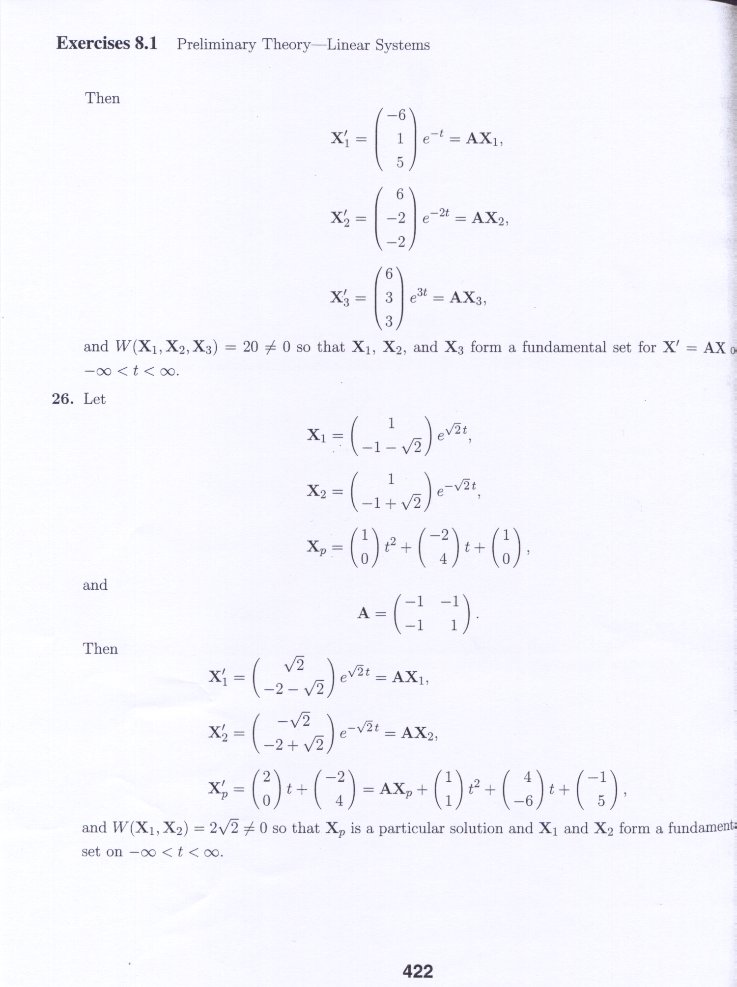
4/24 §8.1 1, 2, 4, 8, 11, 12, 17, 22, 25
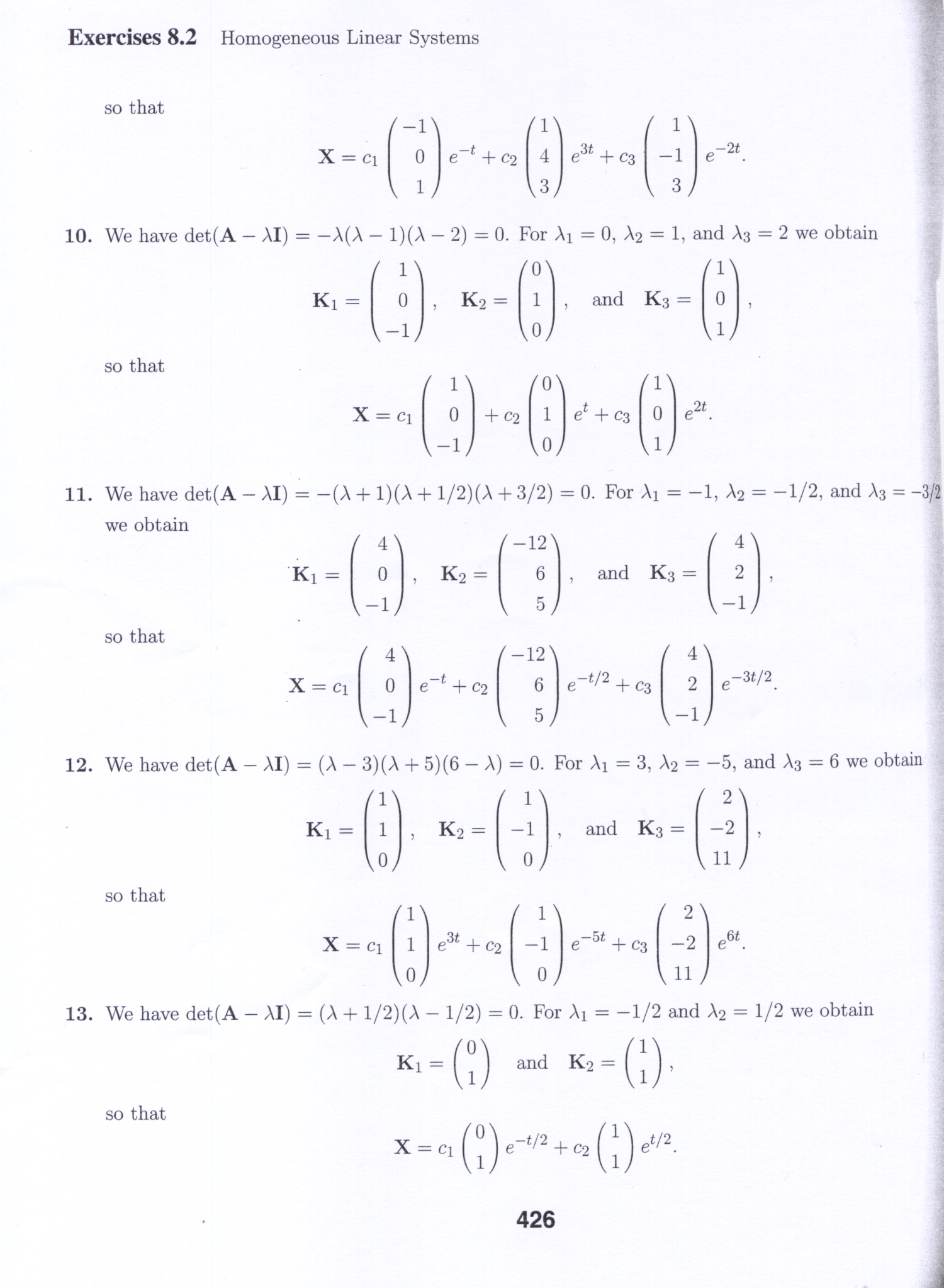
4/27 §8.2.1. We will skip phase portraits. 8.2: 1, 2, 9, 10, 13
4/29 §8.2.2, §8.3.1 (not on exam) 8.2: 19, 20. 8.3: 1, 2
5/1 Exam 3 preparation, answer.  
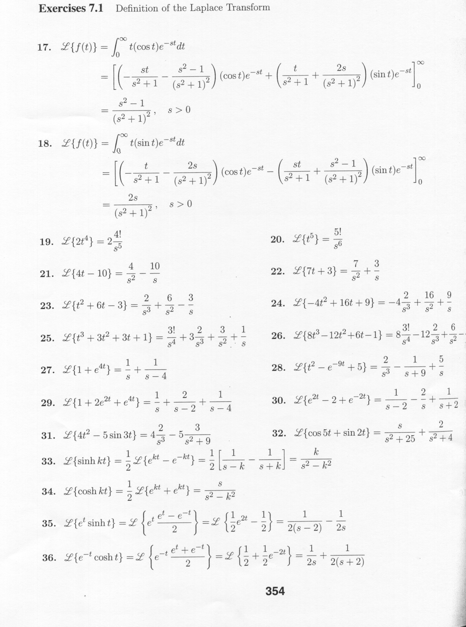
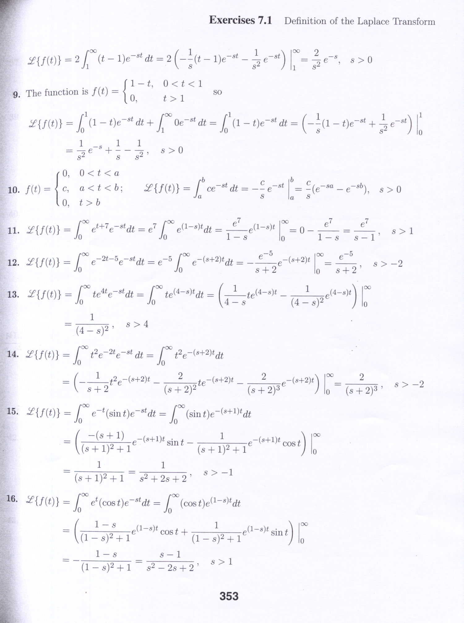
5/4 §7.1 1, 4, 6, 8, 10, 13, 19, 23, 29, 31, 32
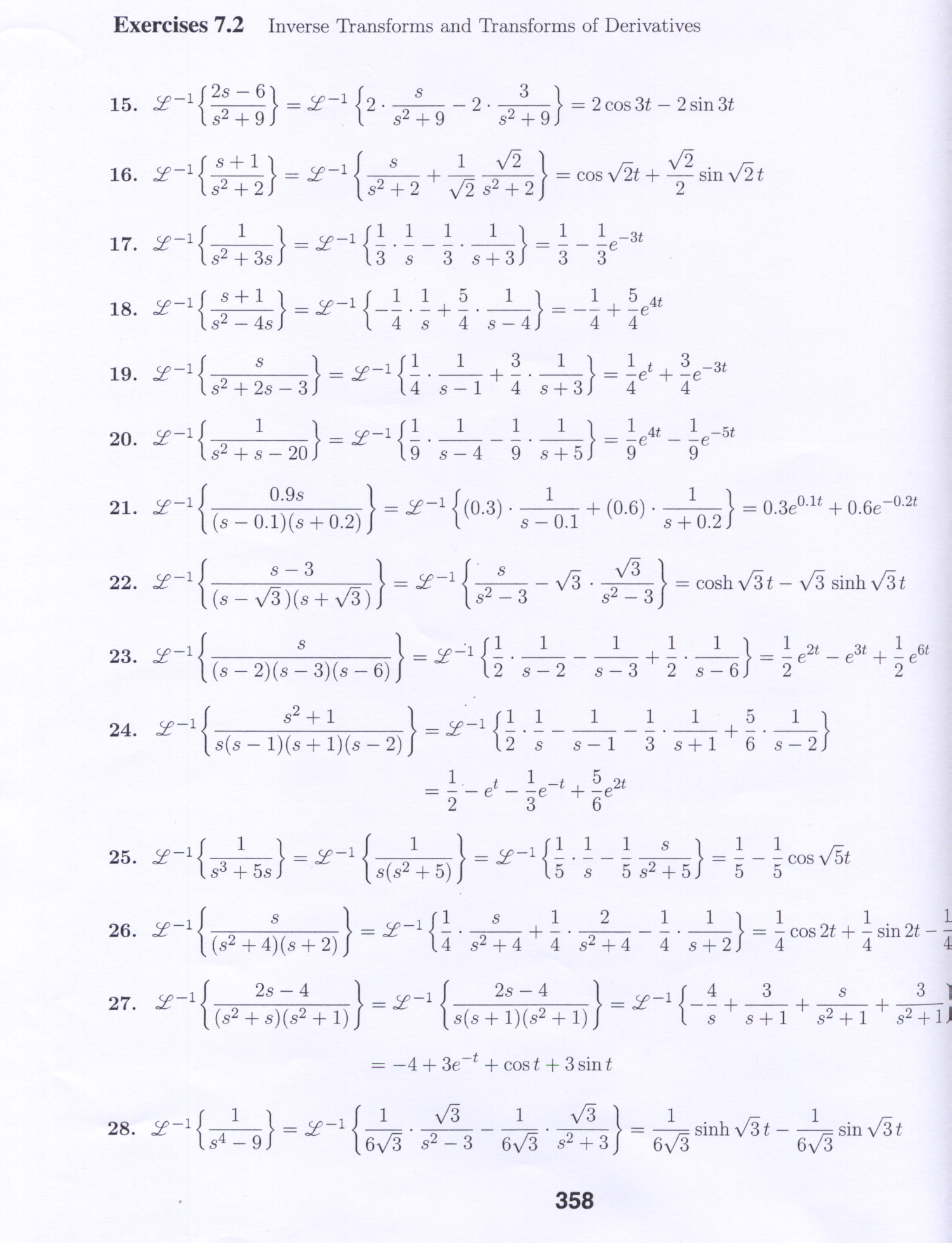
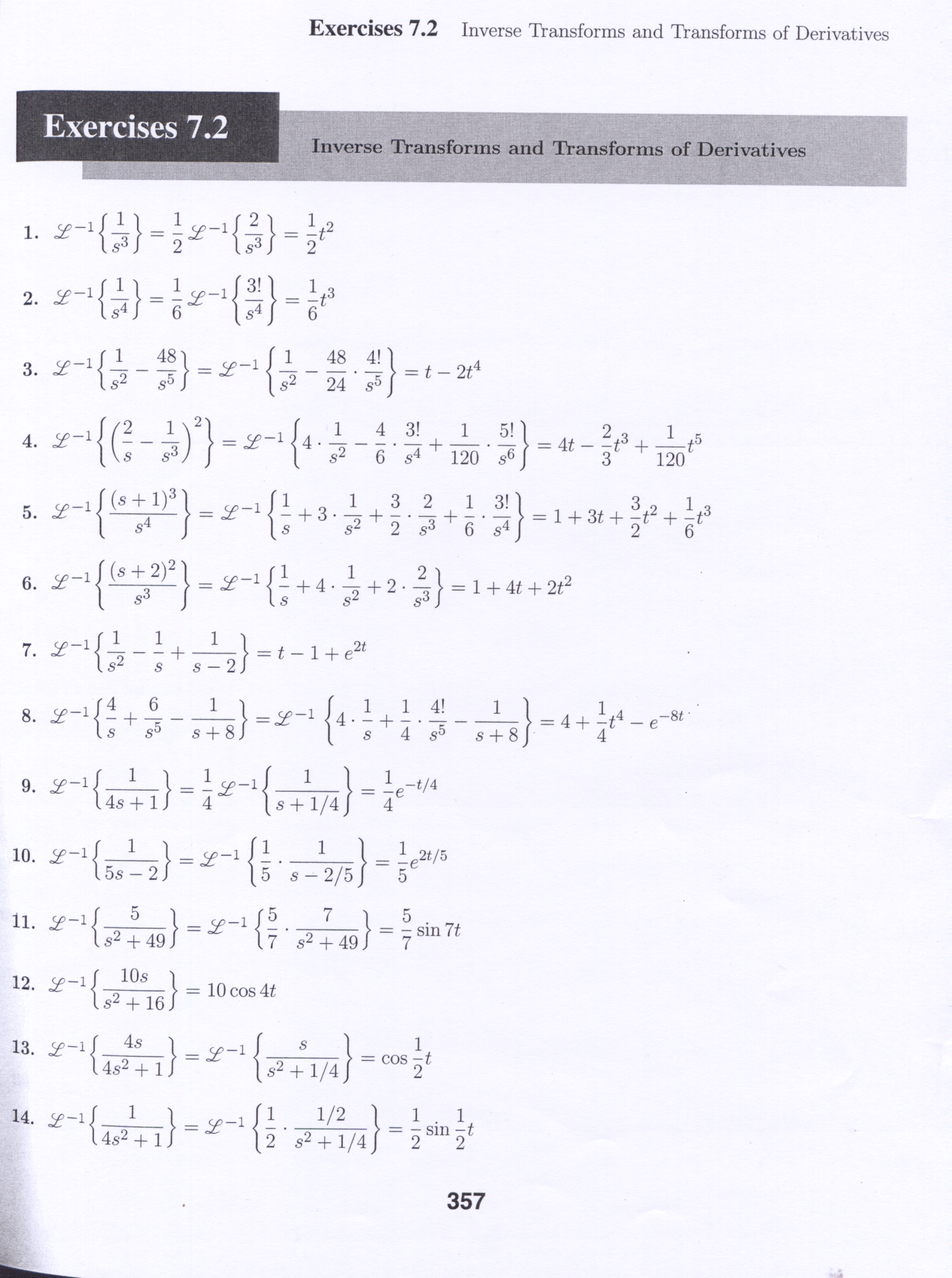
5/6 §7.2 1, 2, 4, 5, 7, 9, 12, 16, 31, 34, 35, 38, 40.
5/8 What are the recurring themes in this course? Integral equations 1, 2.  
5/13 Final Exam

Grades on the homework: 5 (right), 4 (mostly right), 3 (over 1/2 right), 2 (handed in).
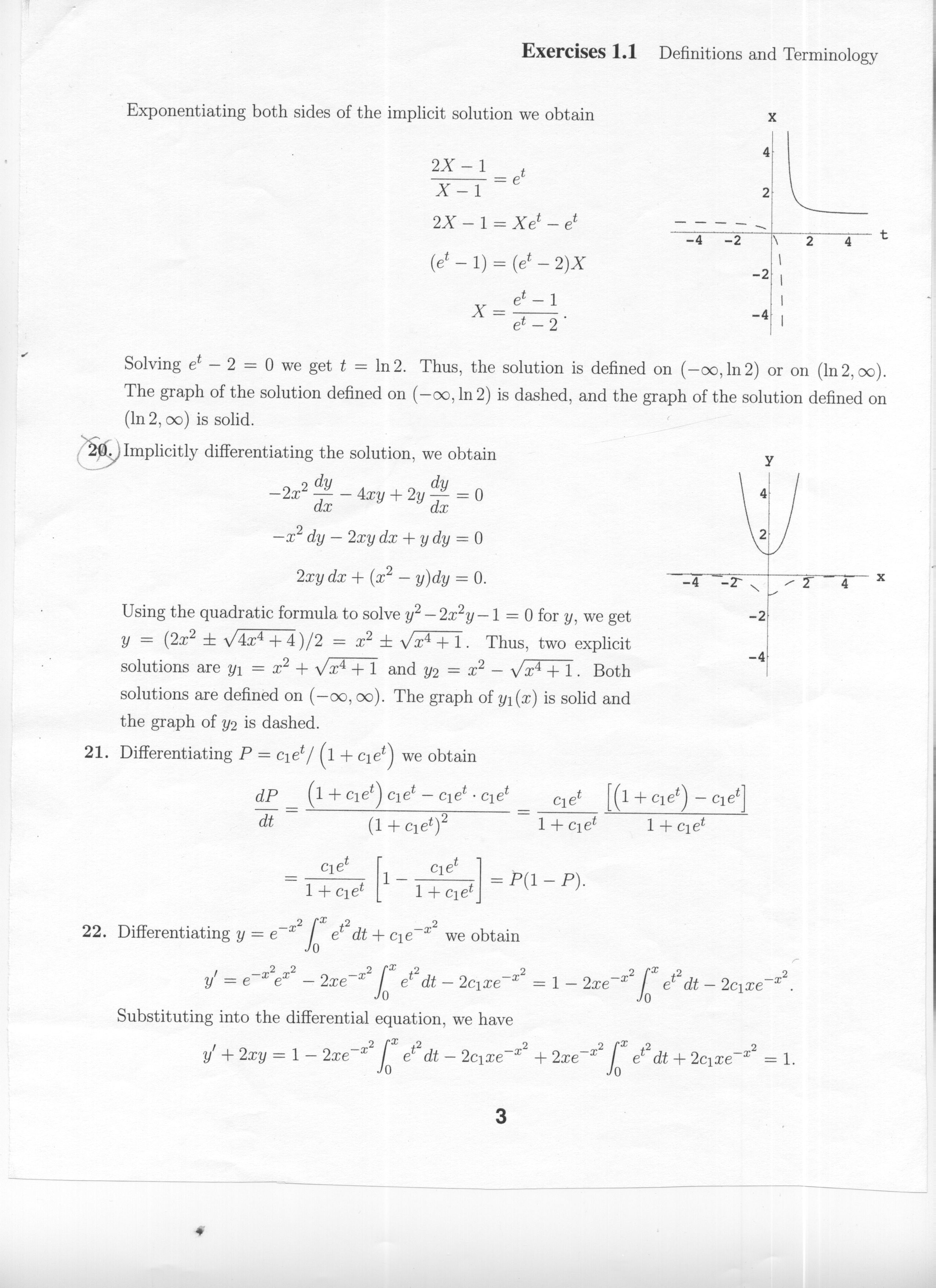
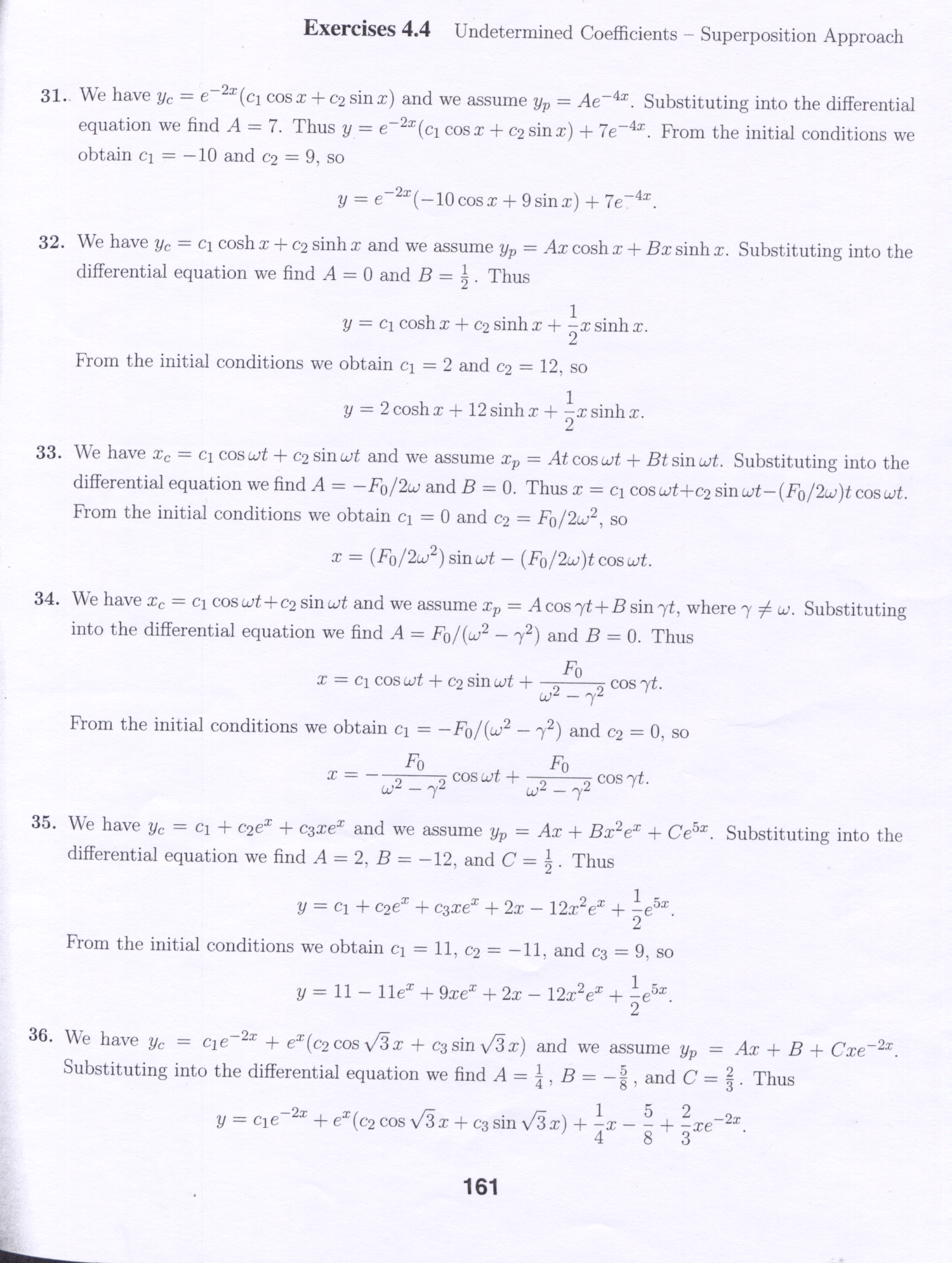
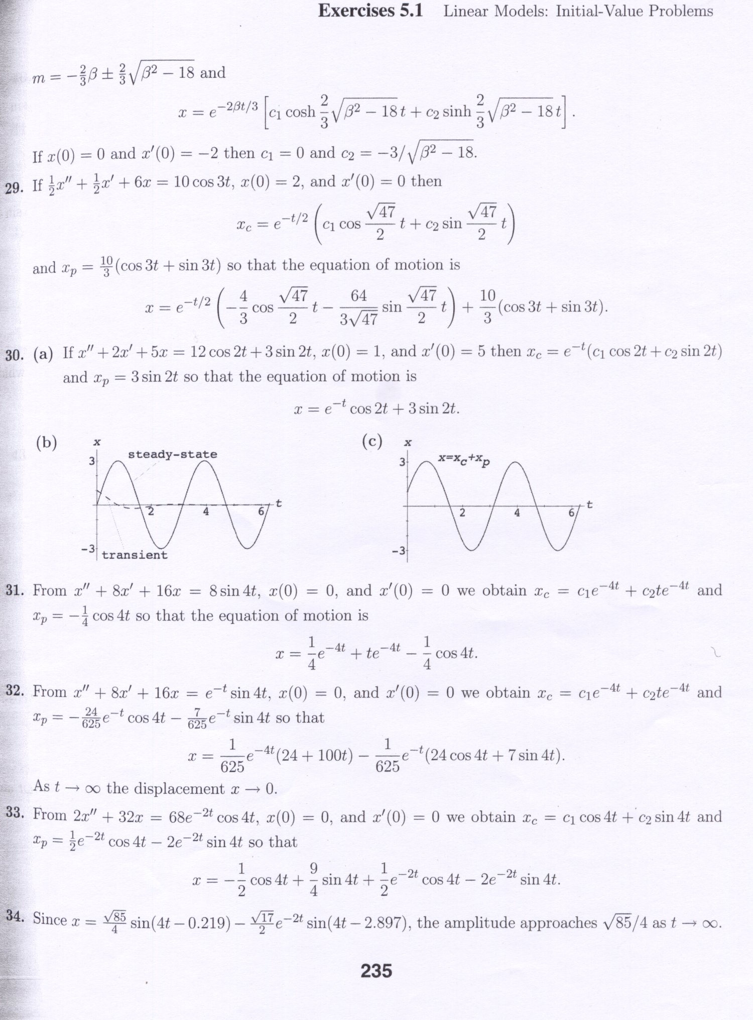
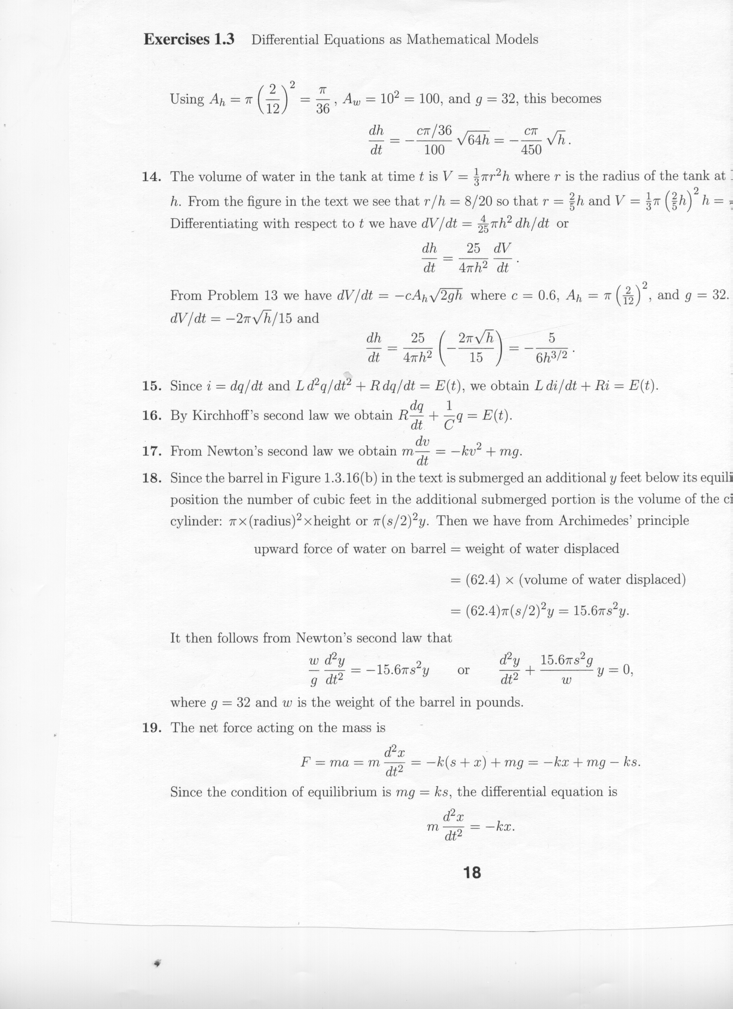
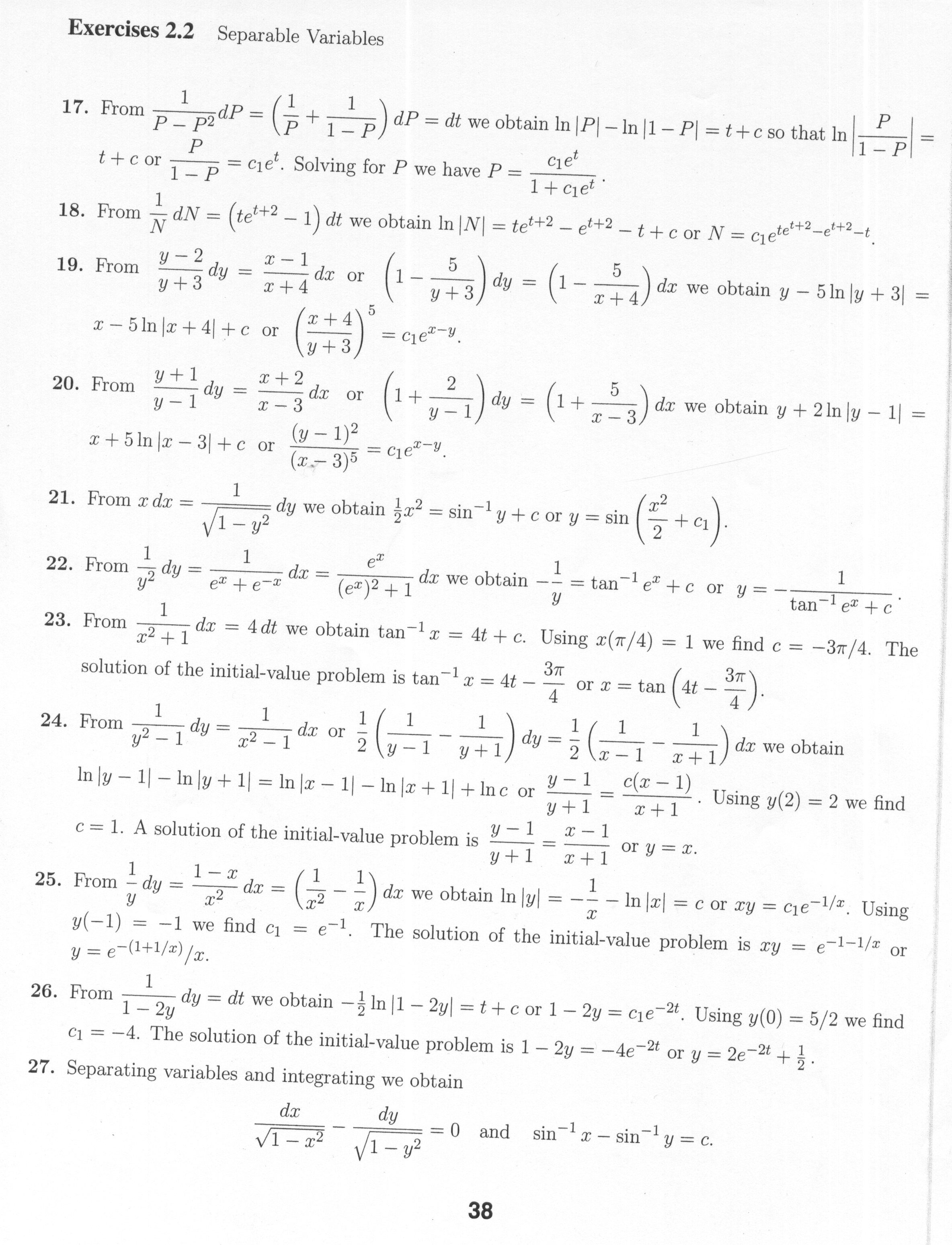
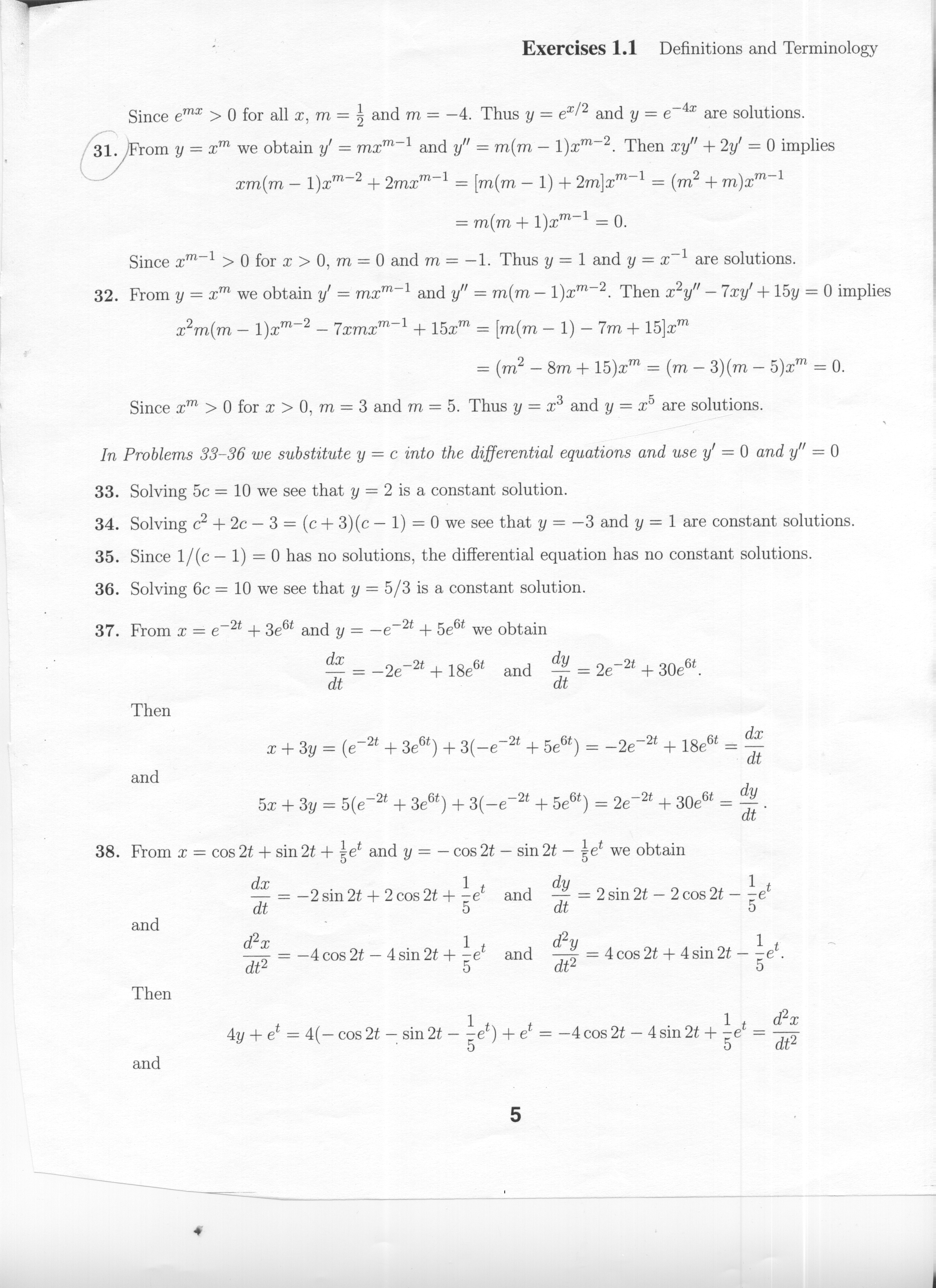
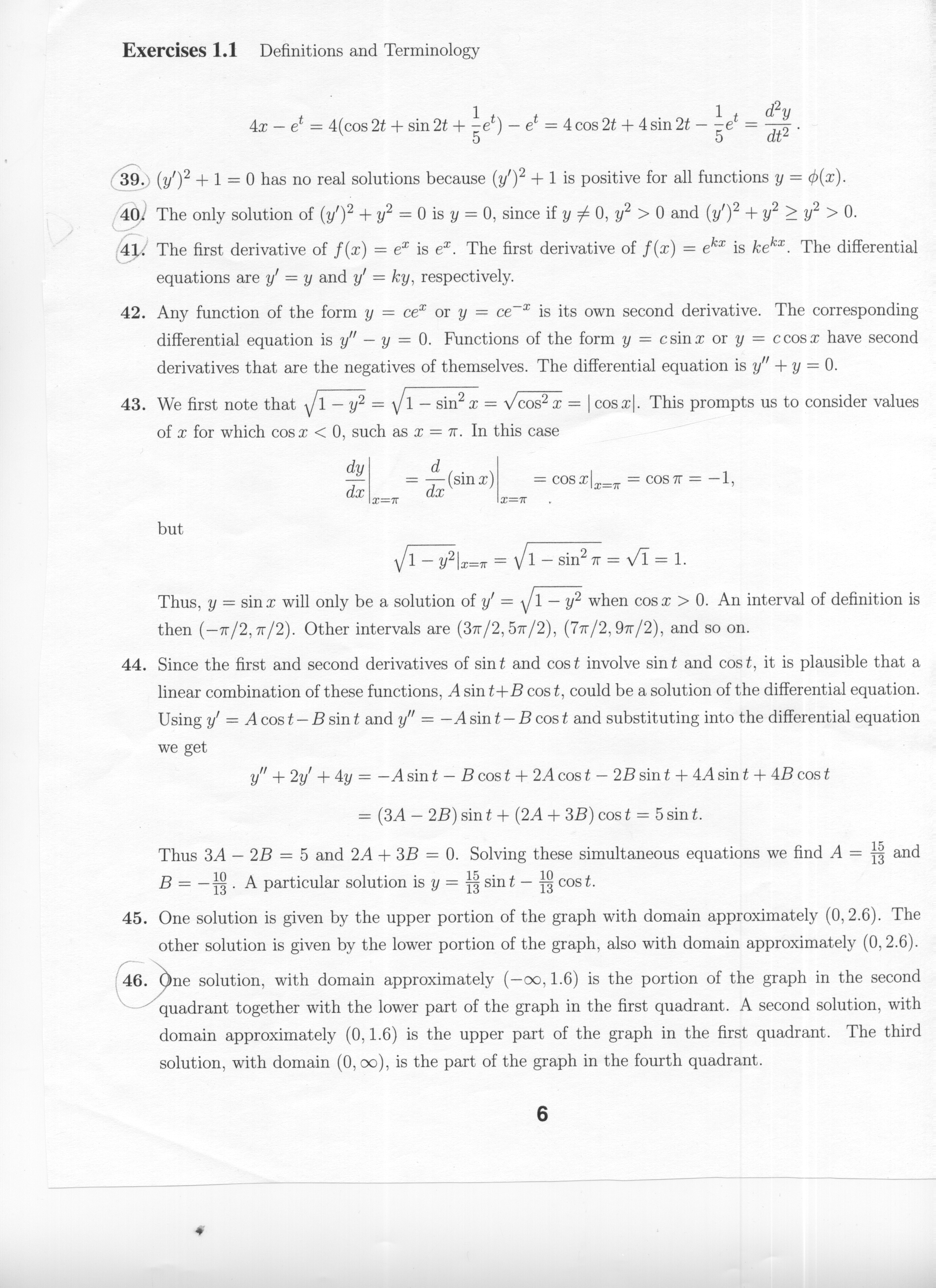
Homework solutions (the resolution is not great but you can zoom in):
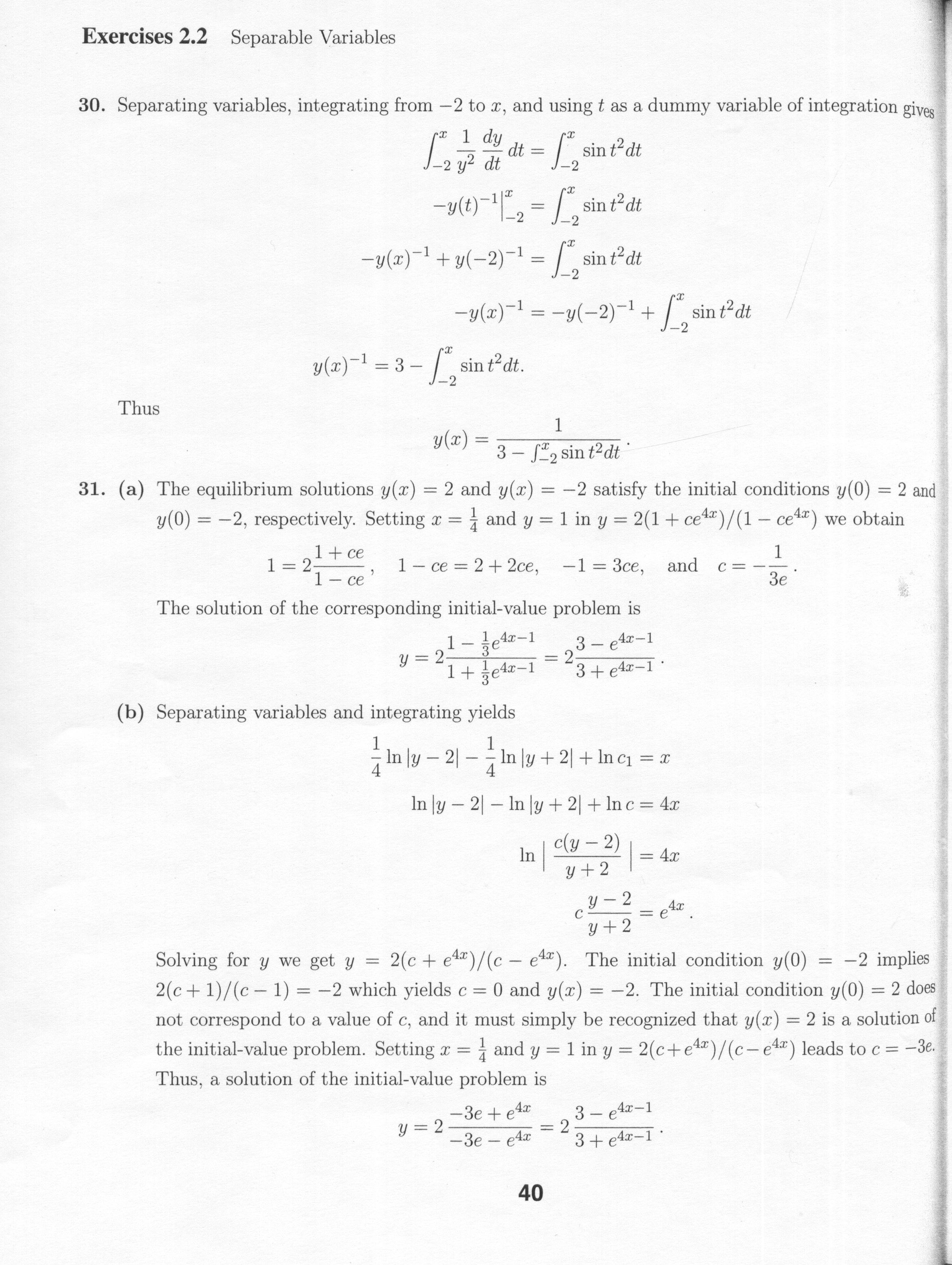
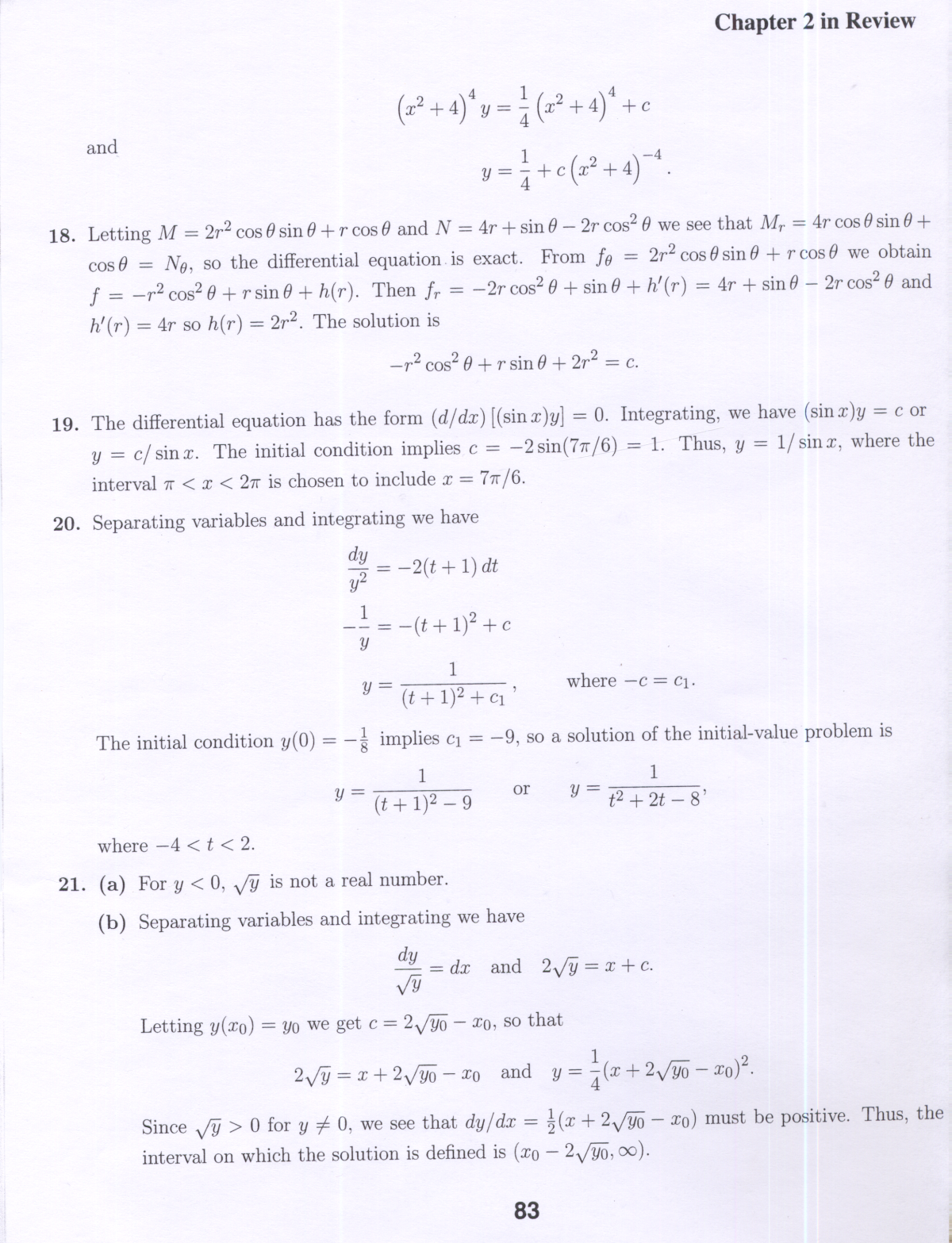
1.1 a, b, c, d, e, f. 1.2 a, b, c. 1.3 a, b, c, d, e. 2.1 a, b, c, d, e, f. 2.2 a, b, c, d, e, f. 2.3 a, b, c, d, e, f, g, h, i. 2.4 a, b, c, d, e, f.
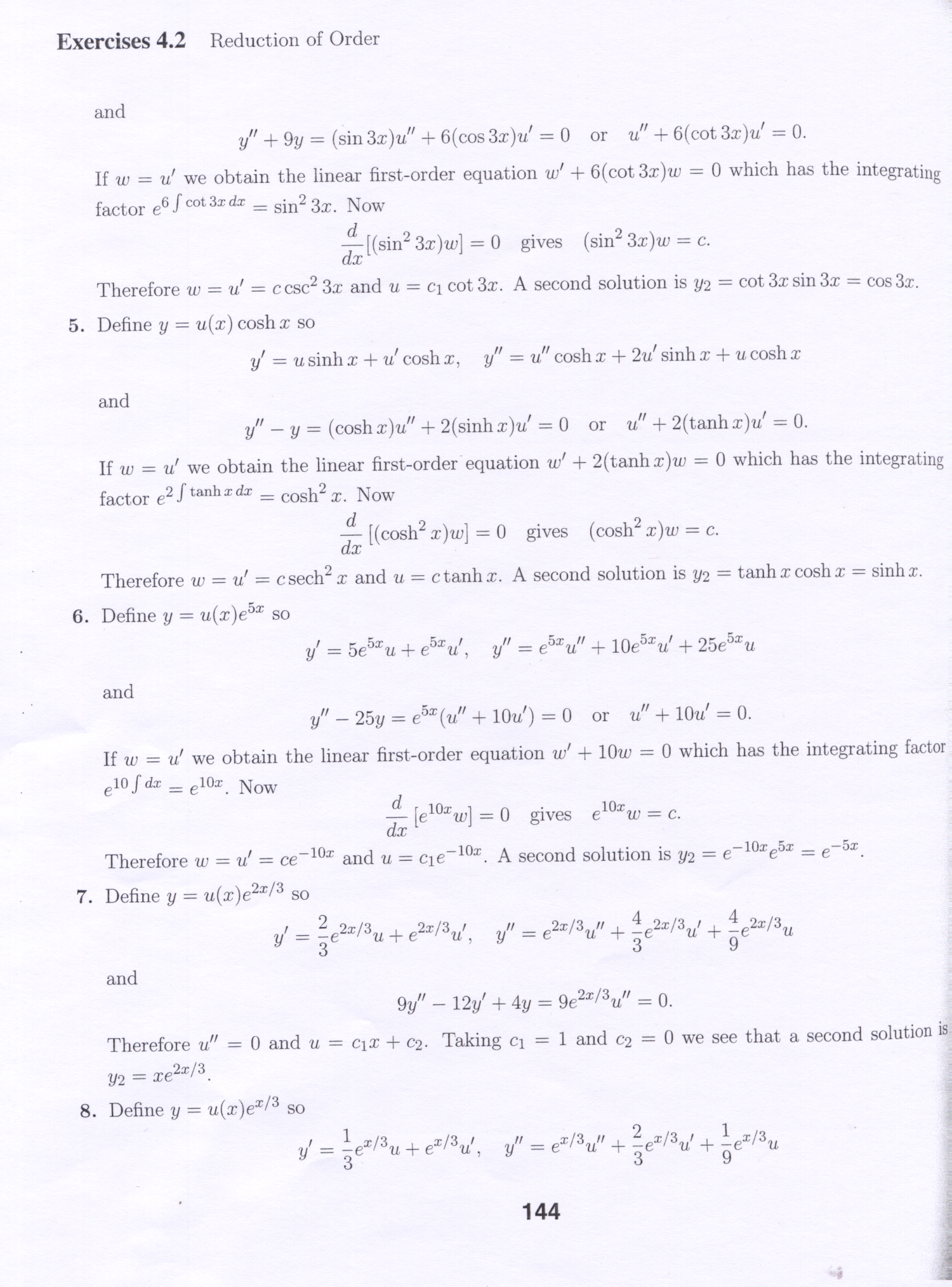
2.5 a, b, c, d, e, f, g, h, i. Ch 2 Review a, b, c, d, e, f, g. 3.1 a, b. 3.2 a, b, c. 3.3 a, b, c, d. 4.1 a, b, c. 4.2 a, b, c, d, e. 4.3 a, b, c, d. 4.4 a, b, c, d, e, f, g, h.
4.7 a. 4.8 a, b, c.
5.1 a,b, c, d..
5.2 a, b, c. Ch 5 Review: a, b
6.1 a, b, c, d, e, f, g, h, i, j.
6.2 a, b, c, d, e.
7.1 a, b, c, d, e.
7.2 a, b, c, d, e.
8.1 a, b, c, d, e.
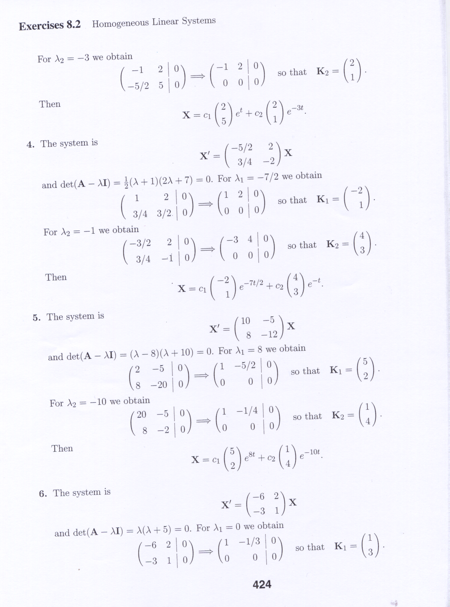
8.2 a, b, c, d, e, f.